2003年成人高考高起点数学(文)考试真题及参考答案
2019-03-06 14:39


一、选择题(本大题共17小题,每小题5分,共85分.在每小题给出的四个选项中。只有一项是符合题目要求的)
第1题

参考答案:D
第2题

参考答案:C
第3题

参考答案:A
第4题

参考答案:B
第5题

参考答案:B
第6题

参考答案:A
第7题

参考答案:C
第8题

参考答案:C
第9题

参考答案:B
第10题

参考答案:D
第11题

参考答案:C
第12题

参考答案:A
第13题

参考答案:B
第14题

参考答案:C
第15题

参考答案:D
二、填空题(本大题共4小题。每小题4分,共16分)
第16题

参考答案:

第17题

参考答案:

第18题

参考答案:56.16
第19题

参考答案:

三、解答题(本大题共4小题。共49分.解答应写出推理、演算步骤)
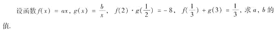
第20题


第21题


第22题


第23题


第24题

