2010年成人高考专升本高等数学一考试真题及参考答案
2019-03-08 09:30


一、一、选择题:每小题4分,共40分,在每小题给出的四个选项中,只有一项是符合题目要求。
第1题

参考答案:C
第2题

参考答案:D
第3题

参考答案:B
第4题

参考答案:C
第5题

参考答案:C
第6题

参考答案:D
第7题

参考答案:A
第8题

参考答案:A
第9题

参考答案:B
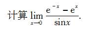
第10题

参考答案:B
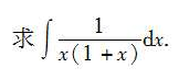
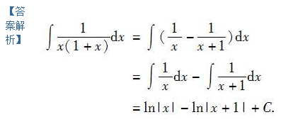
二、填空题:本大题共10小题。每小题4分,共40分,将答案填在题中横线上。
第11题


第12题


第13题


第14题 设y=cosx,则y′=___.
参考答案:-sinx
第15题


第16题


第17题


第18题


第19题


第20题 微分方程dy+xdx=0的通解为y=___.

三、解答题:本大翘共8个小题,共70分。解答应写出推理,演算步骤。
第21题


第22题


第23题


第24题


第25题


第26题


第27题


第28题 证明:当x>0时,(1+x)ln(1+x)>x.
参考答案:设f(x)=(1+x)ln(1+x)-x,(2分) 则f′(x)=ln(1+x)+1-1=ln(1+x),(4分) 当x>0时,f′(x)=ln(1+x)>0,(6分) 故f(x)在(0,+∞)内单调增加, 所以f(x)>f(0)=0,(8分) 即(1+x)ln(1+x)-x>0, 故当x>0时, (1+x)ln(1+x)>x.(10分)